
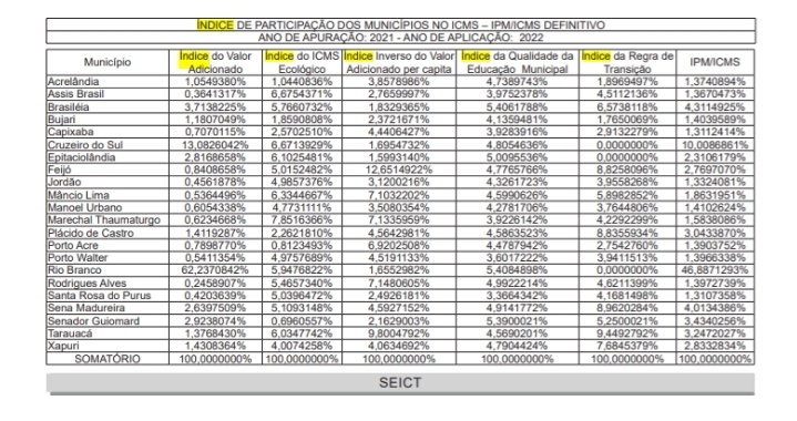
As 22 prefeituras do Acre já sabem quanto poderão receber do repasse do ICMS ao longo de 20222. Divulgado dia 22 de outubro, o Índice de Participação dos Municípios (IPM) foi apurado com base nos dados sobre a atividade econômica dos municípios em 2020 para ser adotado ano que vem. Do total arrecadado em ICMS, 75% ficam com o Estado e 25% são destinados aos municípios.
Com o IPM, o governo considera que as prefeituras aumentarão a capacidade de investimento. “A gestão do Estado busca sempre maior apoio dos prefeitos, no sentido da conscientização dos seus munícipes, da importância que todos têm no desenvolvimento das atividades de fiscalização e controle da arrecadação do ICMS em seu município, considerando que a elevação da receita dos tributos do Estado significa a elevação da receita do próprio município”, disse o secretário-adjunto da Receita Estadual, Breno Caetano
Os valores seguem critérios importantes na composição do IPM como, por exemplo, a área territorial, a população e a receita tributária própria de cada município.
Rio Branco, com 46%; Cruzeiro do Sul (10%) e Brasiléia (4,31%) ficarão com os três maiores repasses.
Veja quanto seu município recebe de ICMS em 2022:

• Ac24horas